Weight Fraction To Volume Fraction Formula . All answers (9) vadim verlotski. mass fraction m/m, or weight fraction w/w, and percent by mass m/m %, or percent by weight w/w %, calculations with worked. if you have reached this page on the web and want a volume/mass fraction conversion there is an online calculation tool on this. the number of particles, np, can be calculated (again assuming identical spherical particles) through the volume fraction, vp, from the corresponding weight. if you weigh the fibre bobbins before and after winding you have the mass of fibre and you can weight the final. in chemistry, the mass fraction of a substance within a mixture is the ratio (alternatively denoted ) of the mass of. First, it is necessary to determine the volume, which takes.
from www.youtube.com
First, it is necessary to determine the volume, which takes. if you weigh the fibre bobbins before and after winding you have the mass of fibre and you can weight the final. in chemistry, the mass fraction of a substance within a mixture is the ratio (alternatively denoted ) of the mass of. All answers (9) vadim verlotski. the number of particles, np, can be calculated (again assuming identical spherical particles) through the volume fraction, vp, from the corresponding weight. if you have reached this page on the web and want a volume/mass fraction conversion there is an online calculation tool on this. mass fraction m/m, or weight fraction w/w, and percent by mass m/m %, or percent by weight w/w %, calculations with worked.
Quality of Steam Mass and Volume Fractions YouTube
Weight Fraction To Volume Fraction Formula the number of particles, np, can be calculated (again assuming identical spherical particles) through the volume fraction, vp, from the corresponding weight. mass fraction m/m, or weight fraction w/w, and percent by mass m/m %, or percent by weight w/w %, calculations with worked. if you have reached this page on the web and want a volume/mass fraction conversion there is an online calculation tool on this. the number of particles, np, can be calculated (again assuming identical spherical particles) through the volume fraction, vp, from the corresponding weight. if you weigh the fibre bobbins before and after winding you have the mass of fibre and you can weight the final. First, it is necessary to determine the volume, which takes. All answers (9) vadim verlotski. in chemistry, the mass fraction of a substance within a mixture is the ratio (alternatively denoted ) of the mass of.
From www.youtube.com
Volume fraction or Percentage by volume (V/V) YouTube Weight Fraction To Volume Fraction Formula All answers (9) vadim verlotski. if you weigh the fibre bobbins before and after winding you have the mass of fibre and you can weight the final. in chemistry, the mass fraction of a substance within a mixture is the ratio (alternatively denoted ) of the mass of. if you have reached this page on the web. Weight Fraction To Volume Fraction Formula.
From www.studypool.com
SOLUTION Chapter3 2 volume weight fractions density void fraction Weight Fraction To Volume Fraction Formula if you have reached this page on the web and want a volume/mass fraction conversion there is an online calculation tool on this. First, it is necessary to determine the volume, which takes. the number of particles, np, can be calculated (again assuming identical spherical particles) through the volume fraction, vp, from the corresponding weight. All answers (9). Weight Fraction To Volume Fraction Formula.
From inspiritvr.com
Mole Fraction Study Guide Inspirit Learning Inc Weight Fraction To Volume Fraction Formula if you have reached this page on the web and want a volume/mass fraction conversion there is an online calculation tool on this. if you weigh the fibre bobbins before and after winding you have the mass of fibre and you can weight the final. mass fraction m/m, or weight fraction w/w, and percent by mass m/m. Weight Fraction To Volume Fraction Formula.
From www.nickzom.org
How to Calculate and Solve for Conversion of Mass Fraction to Volume Weight Fraction To Volume Fraction Formula the number of particles, np, can be calculated (again assuming identical spherical particles) through the volume fraction, vp, from the corresponding weight. if you have reached this page on the web and want a volume/mass fraction conversion there is an online calculation tool on this. if you weigh the fibre bobbins before and after winding you have. Weight Fraction To Volume Fraction Formula.
From www.slideshare.net
Lecture05 Week 02 Weight Fraction To Volume Fraction Formula in chemistry, the mass fraction of a substance within a mixture is the ratio (alternatively denoted ) of the mass of. mass fraction m/m, or weight fraction w/w, and percent by mass m/m %, or percent by weight w/w %, calculations with worked. All answers (9) vadim verlotski. First, it is necessary to determine the volume, which takes.. Weight Fraction To Volume Fraction Formula.
From lessonschoolloading.z13.web.core.windows.net
Volume Fraction And Mass Fraction Weight Fraction To Volume Fraction Formula the number of particles, np, can be calculated (again assuming identical spherical particles) through the volume fraction, vp, from the corresponding weight. All answers (9) vadim verlotski. if you have reached this page on the web and want a volume/mass fraction conversion there is an online calculation tool on this. in chemistry, the mass fraction of a. Weight Fraction To Volume Fraction Formula.
From www.scribd.com
Volumer Fraction and Weight Fraction by Rik Heslehurst PHD, MEng, BEng Weight Fraction To Volume Fraction Formula First, it is necessary to determine the volume, which takes. in chemistry, the mass fraction of a substance within a mixture is the ratio (alternatively denoted ) of the mass of. if you weigh the fibre bobbins before and after winding you have the mass of fibre and you can weight the final. mass fraction m/m, or. Weight Fraction To Volume Fraction Formula.
From www.slideserve.com
PPT Micromechanics PowerPoint Presentation ID2062588 Weight Fraction To Volume Fraction Formula if you have reached this page on the web and want a volume/mass fraction conversion there is an online calculation tool on this. mass fraction m/m, or weight fraction w/w, and percent by mass m/m %, or percent by weight w/w %, calculations with worked. the number of particles, np, can be calculated (again assuming identical spherical. Weight Fraction To Volume Fraction Formula.
From www.youtube.com
Molarity, Molality, Volume & Mass Percent, Mole Fraction & Density Weight Fraction To Volume Fraction Formula in chemistry, the mass fraction of a substance within a mixture is the ratio (alternatively denoted ) of the mass of. the number of particles, np, can be calculated (again assuming identical spherical particles) through the volume fraction, vp, from the corresponding weight. All answers (9) vadim verlotski. if you have reached this page on the web. Weight Fraction To Volume Fraction Formula.
From www.youtube.com
CHM165 Wt Percent Mass Fraction Intro to Factor Label YouTube Weight Fraction To Volume Fraction Formula in chemistry, the mass fraction of a substance within a mixture is the ratio (alternatively denoted ) of the mass of. if you have reached this page on the web and want a volume/mass fraction conversion there is an online calculation tool on this. if you weigh the fibre bobbins before and after winding you have the. Weight Fraction To Volume Fraction Formula.
From chemistrysources.com
الكسر المولي Mole fraction مصادر الكيمياء Weight Fraction To Volume Fraction Formula All answers (9) vadim verlotski. in chemistry, the mass fraction of a substance within a mixture is the ratio (alternatively denoted ) of the mass of. First, it is necessary to determine the volume, which takes. mass fraction m/m, or weight fraction w/w, and percent by mass m/m %, or percent by weight w/w %, calculations with worked.. Weight Fraction To Volume Fraction Formula.
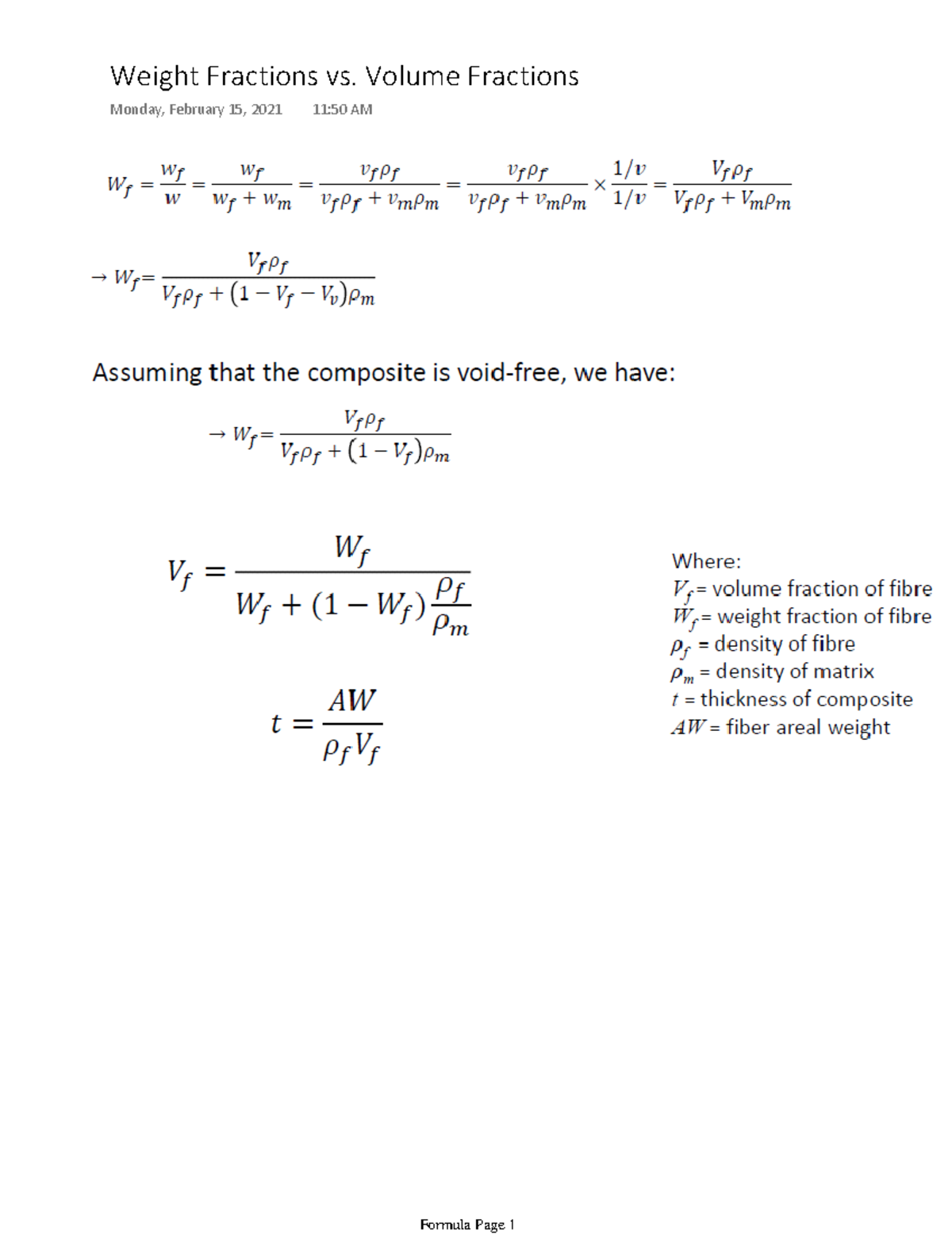
From www.studocu.com
Formula Weight Fractions vs. Volume Fractions Monday, February 15 Weight Fraction To Volume Fraction Formula in chemistry, the mass fraction of a substance within a mixture is the ratio (alternatively denoted ) of the mass of. All answers (9) vadim verlotski. First, it is necessary to determine the volume, which takes. mass fraction m/m, or weight fraction w/w, and percent by mass m/m %, or percent by weight w/w %, calculations with worked.. Weight Fraction To Volume Fraction Formula.
From www.nickzom.org
How to Calculate and Solve for Conversion of Mass Fraction to Volume Weight Fraction To Volume Fraction Formula First, it is necessary to determine the volume, which takes. mass fraction m/m, or weight fraction w/w, and percent by mass m/m %, or percent by weight w/w %, calculations with worked. in chemistry, the mass fraction of a substance within a mixture is the ratio (alternatively denoted ) of the mass of. All answers (9) vadim verlotski.. Weight Fraction To Volume Fraction Formula.
From www.slideserve.com
PPT Fibre Volume Fraction and Laminate Thickness PowerPoint Weight Fraction To Volume Fraction Formula the number of particles, np, can be calculated (again assuming identical spherical particles) through the volume fraction, vp, from the corresponding weight. in chemistry, the mass fraction of a substance within a mixture is the ratio (alternatively denoted ) of the mass of. mass fraction m/m, or weight fraction w/w, and percent by mass m/m %, or. Weight Fraction To Volume Fraction Formula.
From www.youtube.com
Quality of Steam Mass and Volume Fractions YouTube Weight Fraction To Volume Fraction Formula mass fraction m/m, or weight fraction w/w, and percent by mass m/m %, or percent by weight w/w %, calculations with worked. if you have reached this page on the web and want a volume/mass fraction conversion there is an online calculation tool on this. the number of particles, np, can be calculated (again assuming identical spherical. Weight Fraction To Volume Fraction Formula.
From studyschooldecimals.z14.web.core.windows.net
How To Do Volume With Fractions Weight Fraction To Volume Fraction Formula if you have reached this page on the web and want a volume/mass fraction conversion there is an online calculation tool on this. mass fraction m/m, or weight fraction w/w, and percent by mass m/m %, or percent by weight w/w %, calculations with worked. if you weigh the fibre bobbins before and after winding you have. Weight Fraction To Volume Fraction Formula.
From learninglibrarythompson.z13.web.core.windows.net
Volume Fraction From Mass Fraction Weight Fraction To Volume Fraction Formula mass fraction m/m, or weight fraction w/w, and percent by mass m/m %, or percent by weight w/w %, calculations with worked. in chemistry, the mass fraction of a substance within a mixture is the ratio (alternatively denoted ) of the mass of. if you weigh the fibre bobbins before and after winding you have the mass. Weight Fraction To Volume Fraction Formula.
From lessonschoolloading.z13.web.core.windows.net
Volume Fraction And Mass Fraction Weight Fraction To Volume Fraction Formula mass fraction m/m, or weight fraction w/w, and percent by mass m/m %, or percent by weight w/w %, calculations with worked. if you have reached this page on the web and want a volume/mass fraction conversion there is an online calculation tool on this. if you weigh the fibre bobbins before and after winding you have. Weight Fraction To Volume Fraction Formula.